The effect of alphacypermethrin-treated mesh protection against African horse sickness virus vectors on jet stall microclimate, clinical variables and faecal glucocorticoid metabolites of horses
| dc.contributor.author | Page, Patrick Collin | |
| dc.contributor.author | Ganswindt, Andre | |
| dc.contributor.author | Schoeman, Johan P. | |
| dc.contributor.author | Venter, Gert Johannes | |
| dc.contributor.author | Guthrie, Alan John | |
| dc.date.accessioned | 2017-10-09T05:26:04Z | |
| dc.date.available | 2017-10-09T05:26:04Z | |
| dc.date.issued | 2017-09-09 | |
| dc.description | Additional file 1: Temperature (°C; mean ± SEM) recorded at hourly time points in a treated jet stall, an untreated jet stall and outside over 6 nights under temperate climatic conditions. | en_ZA |
| dc.description | Additional file 2: Relative humidity (%; mean ± SEM) recorded at hourly time points in a treated jet stall, an untreated jet stall and outside over 6 nights under temperate climatic conditions. | en_ZA |
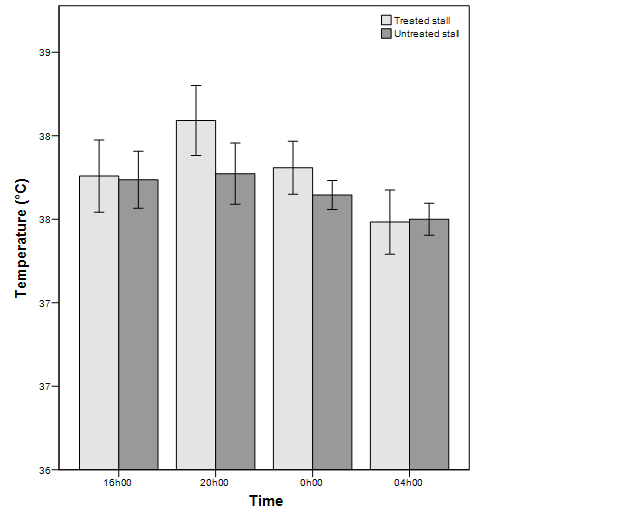
| dc.description | Additional file 3: Rectal temperature (°C; mean ± SEM) of horses in the treated and untreated jet stall groups before entering the stall (16 h00) and during overnight housing (20 h00, 0 h00 and 04 h00). | en_ZA |
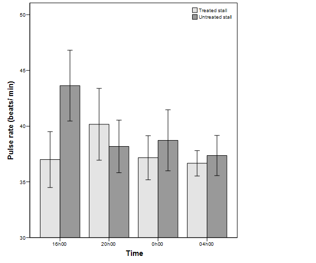
| dc.description | Additional file 4: Pulse rate (beats/ min; mean ± SEM) of horses in the treated and untreated jet stall groups before entering the stall (16 h00) and during overnight housing (20 h00, 0 h00 and 04 h00). | en_ZA |
| dc.description | Additional file 5: Respiratory rate (breaths/ min; mean ± SEM) of horses in the treated and untreated jet stall groups before entering the stall (16 h00) and during overnight housing (20 h00, 0 h00 and 04 h00). | en_ZA |
| dc.description.abstract | BACKGROUND : African horse sickness (AHS) is of importance to health and international trade in horses worldwide. During export from and transit through AHS endemic countries or zones, physical and chemical measures to protect horses from the vectors of AHS virus (AHSV) are recommended by the World Organization for Animal Health. Protection of containerized air transport systems for horses (jet stalls) with alphacypermethrin insecticidetreated high density polyethylene mesh is effective in reducing the Culicoides midge vector attack rate. In order to determine the effect of this mesh on jet stall ventilation and horse welfare under temperate climatic conditions, jet stall microclimate, clinical variables and faecal glucocorticoid metabolite (FGM) levels of 12 horses were monitored during overnight housing in either a treated or untreated stall in two blocks of a 2 × 3 randomized crossover design. RESULTS : Temperature difference between the treated stall and outside was significantly higher than the difference between the untreated stall and outside at 1/15 time points only (P = 0.045, r = 0.70). Relative humidity (RH) difference between the treated stall and outside did not differ from the untreated stall and outside. Temperature and RH in the treated stall were highly and significantly correlated with outside temperature (r = 0.96, P < 0.001) and RH (r = 0.95, P < 0.001), respectively. No significant differences were detected between rectal temperatures, pulse and respiratory rates of horses in the treated stall compared to the untreated stall. Mean FGM concentrations for horses housed in the treated stall peaked earlier (24 h) and at a higher concentration than horses housed in the untreated stall (48 h), but were not significantly different from baseline. No significant difference was detected in FGM concentrations when the treated and untreated stall groups were compared at individual time points up to 72 h after exiting the jet stall. CONCLUSIONS : Alphacypermethrin-treated HDPE mesh could be used under temperate climatic conditions to protect horses in jet stalls against AHSV vectors, without compromising jet stall microclimate and horse welfare. | en_ZA |
| dc.description.department | Anatomy and Physiology | en_ZA |
| dc.description.department | Companion Animal Clinical Studies | en_ZA |
| dc.description.department | Equine Research Centre | en_ZA |
| dc.description.librarian | am2017 | en_ZA |
| dc.description.sponsorship | The Equine Research Centre, Mary Slack and Daughters Foundation, National Research Foundation (Grant 89,686) and the Equine Health Fund. | en_ZA |
| dc.description.uri | http://www.biomedcentral.com/bmcvetres | en_ZA |
| dc.identifier.citation | Page, P., Ganswindt, A., Schoeman, J., Venter, G. & Guthrie, A. 2017, 'The effect of alphacypermethrin-treated mesh protection against African horse sickness virus vectors on jet stall microclimate, clinical variables and faecal glucocorticoid metabolites of horses', BMC Veterinary Research, vol. 13, art. no. 283, pp. 1-8. | en_ZA |
| dc.identifier.issn | 1746-6148 (online) | |
| dc.identifier.other | 10.1186/s12917-017-1198-x | |
| dc.identifier.uri | http://hdl.handle.net/2263/62610 | |
| dc.language.iso | en | en_ZA |
| dc.publisher | BioMed Central | en_ZA |
| dc.rights | © The Author(s) 2017. Open Access. This article is distributed under the terms of the Creative Commons Attribution 4.0 International License. | en_ZA |
| dc.subject | Jet stall | en_ZA |
| dc.subject | Alphacypermethrin | en_ZA |
| dc.subject | Mesh | en_ZA |
| dc.subject | Climate | en_ZA |
| dc.subject | African horse sickness (AHS) | en_ZA |
| dc.subject | Faecal glucocorticoid metabolite (fGCM) | en_ZA |
| dc.subject | Horse (Equus caballus) | en_ZA |
| dc.title | The effect of alphacypermethrin-treated mesh protection against African horse sickness virus vectors on jet stall microclimate, clinical variables and faecal glucocorticoid metabolites of horses | en_ZA |
| dc.type | Article | en_ZA |
Files
Original bundle
1 - 5 of 6
Loading...
- Name:
- Page_Effect_2017.pdf
- Size:
- 686.79 KB
- Format:
- Adobe Portable Document Format
- Description:
- Article
Loading...
- Name:
- Page_EffectAddfile1_2017.bmp
- Size:
- 1.91 MB
- Format:
- Microsoft Windows bitmap
- Description:
- Additional file 1
Loading...
- Name:
- Page_EffectAddfile2_2017.bmp
- Size:
- 1.91 MB
- Format:
- Microsoft Windows bitmap
- Description:
- Additional file 2
Loading...
- Name:
- Page_EffectAddfile3_2017.bmp
- Size:
- 952.71 KB
- Format:
- Microsoft Windows bitmap
- Description:
- Additional file 3
Loading...
- Name:
- Page_EffectAddfile4_2017.bmp
- Size:
- 952.71 KB
- Format:
- Microsoft Windows bitmap
- Description:
- Additional file 4
License bundle
1 - 1 of 1
Loading...
- Name:
- license.txt
- Size:
- 1.75 KB
- Format:
- Item-specific license agreed upon to submission
- Description:
